WilliamHill中文官网谢金翰与里昂大学Raffaele Marino合作,应用新发展的磁流体湍流结构函数理论分析Ulysses观测数据(图1)发现太阳风中同时存在向大小尺度能量双向传输过程,统计意义上出现了湍流能量通量的均分。该发现不仅印证了天体物理等离子体中存在双向能量传输的状态,而且确定了磁流体力学状态下驱动太阳风湍流的能量注入尺度。这些发现表明注入恒星风的能量中有相当部分从远小于星系尺度通过湍流作用转移至更大尺度,这一过程可能对恒星形成机制产生深远影响。该研究以“Flux equipartition in astrophysical plasma turbulence”为题发表于Science Advances (https://doi.org/10.1126/sciadv.adv8988)。

图1,Ulysses Spacecraft [1]
在宇宙中,膨胀的等离子体广泛存在于超新星爆发、恒星大气层及星风等场景中,其携带多种能量形式。理解湍流运动、传播波与不稳定性相互作用引发的跨尺度能量传输特性,对揭示等离子体行为机制至关重要,这也是空间探测任务的核心目标之一。
经典的磁流体湍流三阶结构函数理论考虑惯性区中三阶结构函数的标度和能量传输强度和方向的关系,其适用与远离能量注入和耗散的尺度(cf. Politano & Pouquet 定律[1])。此工作发展超越惯性区的磁流体湍流三阶结构函理数论,其描述了能量注入和耗散尺度,这使得分析可能存在能量双向传输的等离子体湍流成为可能,而且在获得能量传输方向的同时我们也可以获得能量注入的尺度和强度。由于新湍流理论不依赖于惯性区,我们将基于传统惯性区理论分析获得的25组能量信息[2]扩展到
数量级(图2),进而可以进行统计分析。

图2:Ulysses时间序列上计算的湍流能通量、注入和耗散率的时间演化。(A) 向大于/小于最大/最小观测尺度的能量通量,分别为
和
;(B) 能量注入率和耗散率,分别为
;(C) 尺度空间的能量注入率与耗散率,分别对应
的正值与负值。
图3展示了能量注入的统计信息。我们发现能量主要注入的两个尺度范围是[3x
km, 2x
km]和[
km,
km]。前者与太阳日冕环的尺度相对应,后者的能量可能来源于大尺度剪切。图4展示了能量双向传输的数据中能量向大小双向传输的统计上的均分。

图3:能量注入的统计分析。(A) 总能量注入率
和尺度(𝑟)的联合概率分布。(B) 尺度依赖的总能量注入率均值
。
![]()
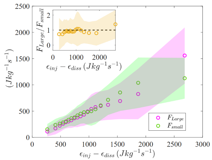
图4:向大尺度(粉色)和小尺度(绿色)传输的能量通量与净能量注入率的依赖关系。插图中通量比表明统计上实现了均分。
此工作从磁流体湍流角度分析了星际等离子体能量传输的性质,通过特征注入尺度发现主导的多尺度能量驱动机制。对于恒星形成的调控机制这一开放问题而言,此研究提供了磁流体湍流将能量由小尺度向大尺度传输的机制。更一般而言,对于多尺度的复杂自然湍流,在跨越地球物理流体、量子流体、动理学等离子体乃至此研究的空间等离子体中,双向能量传输现象日益显现其普适性特征。
此工作得到了国家自然科学基金NO. 12272006,12472219,42361144844支持。
参考文献:
[1] https://www.esa.int/Science_Exploration/Space_Science/Ulysses_overview
[2] H. Politano and A. Pouquet. von Karman-Howarth equation for magnetohydrodynamics and its consequences on third-order longitudinal structure and correlation functions. Phys. Rev. E, 57(1):R21–R24, 1998
[3] L. Sorriso-Valvo, R. Marino, V. Carbone, A. Noullez, F. Lepreti, P. Veltri, R. Bruno, B. Bavassano, and E. Pietropaolo. Observation of inertial energy cascade in interplanetary space plasma. Phys. Rev. Lett., 99:115001, 2007.